Матрица преобразований
Многие веб-разработчики игнорируют матрицу преобразований, полагая её слишком сложной для понимания и используя взамен простейшие функции для трансформации. И совершенно зря, матрица преобразований обладает широкими возможностями, вдобавок, в том или ином виде поддерживаются всеми браузерами, а значит её применение даёт кроссбраузерный код. Так что давайте разбираться, что это такое и как использовать матрицу преобразований на практике.
Трансформация
Сама матрица преобразований предназначена для вычисления новых координат элемента с целью его трансформации. При этом соблюдается условие, что линии всегда остаются параллельными, поэтому в качестве трансформации допустимы поворот, масштабирование, наклон и изменение положения, но никак не перспектива или нечто подобное. На рис. 1 показаны допустимые и невозможные преобразования, сделанные с помощью матриц.
![]() |
![]() |
![]() |
![]() |
| Исходный элемент | Поворот | Наклон | А вот так сделать нельзя |
Рис. 1. Трансформация элемента
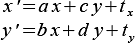
Сама матрица имеет размер 3х3 и в общем виде записывается так:

Иногда для простоты третью колонку опускают, поскольку она не оказывает влияния на конечный результат. Новые координаты каждой точки элемента после преобразования с помощью матрицы вычисляются по следующей формуле:
![]()
Роль каждого коэффициента матрицы представлена в табл. 1.
| Коэффициент | Преобразование | Описание |
|---|---|---|
| a | ![]() |
Изменение масштаба по горизонтали. Значение больше 1 расширяет элемент, меньше 1, наоборот, сжимает. |
| b | ![]() |
Наклон по горизонтали. Положительное значение наклоняет влево, отрицательное вправо. |
| c | ![]() |
Наклон по вертикали. Положительное значение наклоняет вверх, отрицательное вниз. |
| d | ![]() |
Изменение масштаба по вертикали. Значение больше 1 расширяет элемент, меньше 1 — сжимает. |
| tx | ![]() |
Смещение по горизонтали в пикселах. Положительное значение сдвигает элемент вправо на заданное число пикселов, отрицательное значение сдвигает влево. |
| ty | ![]() |
Смещение по вертикали в пикселах. При положительном значении элемент опускается на заданное число пикселов вниз или вверх при отрицательном значении. |
Для наглядности действие каждого коэффициента вы можете проверить на данной форме (в IE не работает).

Матрица преобразований в браузерах
Для трансформации элемента применяется стилевое свойство transform, которое принимает в качестве значения ключевое слово matrix, внутри скобок перечисляются коэффициенты нашей матрицы преобразований.
transform: matrix(a, c, b, d, tx, ty)
Обратите внимание на порядок коэффициентов, это имеет принципиальное значение.
Как обычно, разные браузеры со свойствами CSS3 работают по своему, понимая их только с префиксами, поэтому приходится дублировать одну строку несколько раз.
-moz-transform: matrix(a, c, b, d, tx, ty); /* Firefox 3.5+ */
-webkit-transform: matrix(a, c, b, d, tx, ty); /* Safari 3.1+ и Chrome 2.0+ */
-o-transform: matrix(a, c, b, d, tx, ty); /* Opera 10.5+ */
-ms-transform: matrix(a, c, b, d, tx, ty); /* IE 9.0 */
filter: progid:DXImageTransform.Microsoft.Matrix(M11=a, M12=b, M21=c, M22=d,
Dx=tx, Dy=ty); /* IE 5.5+ */
Если вам нужна поддержка Internet Explorer до версии 9.0, тогда придётся использовать нестандартное свойство filter, имеющее свой особый синтаксис.
Единичная матрица
Если в матрице коэффициенты a и d равны 1, а остальные элементы матрицы нулевые, то такая матрица называется единичной. Эта матрица применяется по умолчанию, поскольку не приводит к какой-либо трансформации элемента. Так что если необходимо произвести только один вид преобразований, единичную матрицу надо брать в качестве основы.

Масштаб по горизонтали
Чтобы увеличить размер элемента, допустим, в два раза по горизонтали, коэффициент a следует установить равным 2, а остальные коэффициенты оставить как в единичной матрице.

Считаем новые координаты:
x' = 2*x + 0*y + 0
y' = 0*x + 1*y + 0
И окончательно
x' = 2x
y' = y
Код для масштабирования показан в примере 1.
Пример 1. Масштабирование
<!DOCTYPE html>
<html>
<head>
<meta charset="utf-8">
<title>transform</title>
<style>
.t {
background: #fc0;
padding: 10px;
width: 300px;
-moz-transform: matrix(2, 0, 0, 1, 0, 0);
-webkit-transform: matrix(2, 0, 0, 1, 0, 0);
-o-transform: matrix(2, 0, 0, 1, 0, 0);
-ms-transform: matrix(2, 0, 0, 1, 0, 0);
}
</style>
</head>
<body>
<div class="t">
<p>То, что делает армию при встрече с противником непобедимой,
это правильный бой и маневр.</p>
<p>Сунь-Цзы. Искусство войны. Пер. Н. Конрад.</p>
</div>
</body>
</html>
Отражение
Для отражение элемента по горизонтали следует установить a=-1, по вертикали d=-1 или эти значения одновременно для отражения одним разом по горизонтали и вертикали.

В примере 2 показано отражение рисунка по вертикали.
Пример 2. Отражение
<!DOCTYPE html>
<html>
<head>
<meta charset="utf-8">
<title>transform</title>
<style>
.t {
-moz-transform: matrix(1, 0, 0, -1, 0, 0);
-webkit-transform: matrix(1, 0, 0, -1, 0, 0);
-o-transform: matrix(1, 0, 0, -1, 0, 0);
-ms-transform: matrix(1, 0, 0, -1, 0, 0);
opacity: 0.3;
}
</style>
</head>
<body>
<p><img src="images/igels.png" alt="Ёжик"><br>
<img src="images/igels.png" alt="Отражение" class="t"></p>
</body>
</html>
Наклон
За наклон отвечают коэффициенты b и c, которые и влияют на вид элемента. Давайте установим b=1 и посмотрим, какие преобразования получатся.

x' = 1*x + 0*y + 0
y' = 1*x + 1*y + 0
x' = x
y' = x + y
Таким образом, меняется только координата y, которая увеличивается на значение x, что и приводит к наклону элемента. В примере 3 используется отрицательное значение коэффициента b для наклона вправо.
Пример 3. Наклон
<!DOCTYPE html>
<html>
<head>
<meta charset="utf-8">
<title>transform</title>
<style>
.t {
background: #fc0;
padding: 10px;
width: 400px;
-moz-transform: matrix(1, 0, -0.5, 1, 0, 0);
-webkit-transform: matrix(1, 0, -0.5, 1, 0, 0);
-o-transform: matrix(1, 0, -0.5, 1, 0, 0);
-ms-transform: matrix(1, 0, -0.5, 1, 0, 0);
}
</style>
</head>
<body>
<div class="t">
<p>То, что делает армию при встрече с противником непобедимой,
это правильный бой и маневр.</p>
<p>Сунь-Цзы. Искусство войны. Пер. Н. Конрад.</p>
</div>
</body>
</html>
Поворот
Поворот является комбинацией масштабирования и наклона, но чтобы сохранить исходные пропорции элемента преобразования должны подчиняться строгим вычислениям с использование синусов и косинусов.

Сам поворот происходит по часовой стрелке, α задаёт угол поворота в градусах.
Перемещение
За сдвиг элемента по горизонтали отвечает коэффициент tx, а по вертикали ty. Значением выступает число пикселов, Firefox, кроме того, единственный браузер, который поддерживает и другие единицы, например, em.
Перемещение само по себе применяется довольно редко из-за того, что в CSS для этого есть множество других средств, например позиционирование или отступы.
Резюме
Несмотря на некоторый ореол загадочности вокруг матрицы преобразований, на деле это довольно простой и эффективный инструмент трансформации в CSS. Конечно, применять матрицы нужно не всегда, например, для поворота есть готовая функция rotate, более простая и понятная в использовании, чем тригонометрические вычисления. Тем не менее, для каких-то случаев вроде отражения элементов матрица преобразований просто незаменима.









